• Login
NORVANREPORTS.COM |  Business News, Insurance, Taxation, Oil & Gas, Maritime News, Ghana, Africa, World
  • Home
  • News
    • General
    • Political
  • Economy
  • Business
    • Agribusiness
    • Aviation
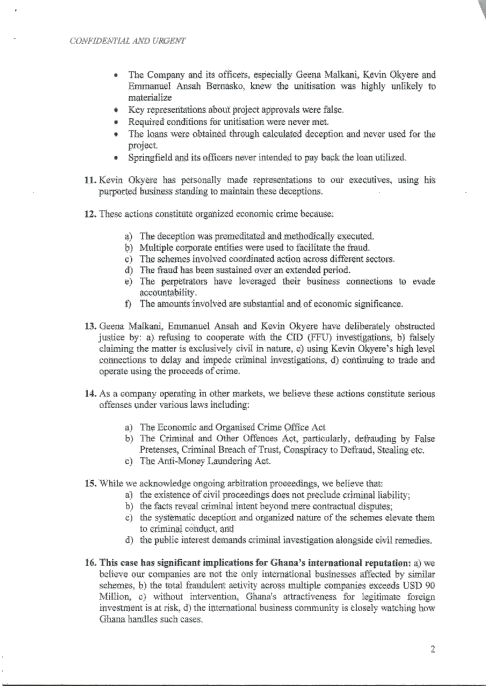
    • Banking & Finance
    • Energy
    • Insurance
    • Manufacturing
    • Markets
    • Maritime
    • Real Estate
    • Tourism
    • Transport
  • Technology
    • Telecom
    • Cyber-security
    • Cryptocurrency
    • Tech-guide
    • Social Media
  • Features
    • Interviews
    • Opinions
  • Reports
    • Banking/Finance
    • Insurance
    • Budgets
    • GDP
    • Inflation
    • Central Bank
    • Sec/Gse
  • Lifestyle
    • Sports
    • Entertainment
    • Travel
    • Environment
    • Weather
  • NRTV
    • Audio
    • Video
No Result
View All Result
No Result
View All Result
NORVANREPORTS.COM |  Business News, Insurance, Taxation, Oil & Gas, Maritime News, Ghana, Africa, World
No Result
View All Result
Home Business

EOCO admits to probing two Springfield Energy-related cases: One Explosive with BOST, and a Petition Filed Against it

The agency’s rare public admission follows growing scrutiny over a $94 million investor complaint and deepening institutional tension in Ghana’s petroleum sector.

1 day ago
in Business, Economy, Editor's pick, Energy, Environment, Features, General, highlights, Home, home-news, latest News, Lifestyle, Markets, News
3 min read
0 0
0
44
VIEWS
Share on FacebookShare on TwitterShare on Linkedin
  • EOCO pushes back and admits to probing two Springfield energy-related cases: One Explosive with BOST, and a Petition Filed Against it

Ghana’s Economic and Organised Crime Office (EOCO) has publicly acknowledged that it is investigating two separate cases involving Springfield Energy, one concerning an explosive investigation into dealings with the Bulk Oil Storage and Transportation Company (BOST) and another stemming from a petition filed against Springfield Energy by foreign investors.

The announcement, made through a press statement on Sunday, 2 November 2025, marks a public admission from EOCO and comes amid intensifying scrutiny over allegations of financial misconduct in Ghana’s petroleum sector.

EOCO’s disclosure followed our report that Springfield’s founder, Kevin Okyere, had been detained by Dubai authorities in connection with an over $90 million investor complaint. While EOCO dismissed the reported issue of not coming to the public on the matter, the agency’s statement simultaneously confirmed that it has been actively investigating Springfield-linked matters for several months, effectively validating earlier media reporting on the existence of the probe.

In its statement, EOCO said it found it “regrettable” that the media outlet which put out the story did not seek clarification before publishing claims that they were not engaging the public on the matter, which made it seem they were doing nothing on the complaint filed with them. However, the agency went further to note that “EOCO is currently investigating two Springfield-related cases, one that involved an explosive case between BOST and Springfield Energy and another concerning a petition filed against the same company.

This admission marks a turning point in a controversy that has tested the public trust. For months, industry observers had questioned why the agency remained silent after receiving a formal petition from Swiss-based Petraco Oil Company SA in May 2025, alleging that its Ghanaian partner, GMP Energy Limited, and affiliated entities had diverted proceeds from oil-lifting operations.

Petraco’s complaint, addressed to EOCO, accused GMP and its associates of withholding export proceeds generated under a joint venture agreement facilitated through Petraco Energies DMCC in Dubai. The company argued that despite multiple requests for reconciliation and repayment, GMP failed to account for the funds.

While the petition primarily targeted GMP Energy, Springfield’s name surfaced in connection with overlapping ownership structures, shared commercial arrangements, and disputes over crude cargo allocations. Springfield, however, did categorically deny any wrongdoing.

RelatedPosts

T-Bill Undersubscription Persists as Gov’t Misses Target by GHS 711 Million in Latest Auction

GSE Remains Upbeat Supported by Sustained Investor Interest in Financial Counters

GTBank Ghana’s Assets Rise to GHS 19.1bn in Q3 2025 on Strong Loan and Cash Growth

In a formal response to NorvanReports dated 23 June 2025, Springfield stated that it had not been party to any fraudulent transaction and described the dispute as “strictly commercial”. The company emphasised that EOCO had not made any finding of guilt, insisting that “the matter is being addressed through appropriate legal and commercial channels.”

EOCO’s weekend admission, therefore, both affirms and complicates the parties’ (Springfield/GMP) position. By acknowledging an ongoing probe, the agency has given weight to the gravity of the allegations while also signalling that the matter is still under review and not yet conclusive.

For Ghana’s anti-corruption establishment, EOCO’s belated transparency raises difficult questions. Why did the agency wait nearly six months to publicly confirm it was investigating such a significant petition? “The real issue here isn’t only about Springfield or GMP,” said a consultant who spoke on condition of anonymity. “It’s about whether our institutions respond swiftly to protect investor confidence. EOCO’s silence created the perception of inertia, and now this pushback looks like damage control.”

Indeed, EOCO’s statement comes at a time when public trust in Ghana’s enforcement bodies is wavering.

EOCO’s confirmation that one of its Springfield investigations involves BOST, the state-owned petroleum logistics company, is equally significant. NorvanReports understands that the BOST-Springfield matter revolves around product supply and reconciliation discrepancies, which the agency described as “a priority due to its potential fiscal impact”.
If substantiated, such findings could have implications for state finances and petroleum pricing stability, given BOST’s central role in Ghana’s fuel distribution network.

“This case could expose not just corporate misconduct but systemic weaknesses in how the state supervises petroleum trades,” an energy economist noted. “When a national oil company becomes part of the investigation, the political and economic stakes rise exponentially.”

EOCO’s sharp tone toward the media, accusing NorvanReports of “false reportage,”, reflects a familiar tension between official silence and public accountability. Yet by confirming the very existence of the probes, EOCO has implicitly validated months of investigative reporting.

We at NorvanReports maintain that our earlier articles were based on official petitions, company correspondence, and verified legal documents, some of which we have shared in this article. Each report was carefully framed around allegations, not conclusions, with responses from both GMP Energy and Springfield fully incorporated for balance. The episode underscores the need for timely, transparent communication from state institutions when matters of public interest arise.

EOCO now faces the difficult task of balancing political sensitivities, investor pressure, and public demand for results. If wrongdoing is established, prosecutions will test Ghana’s capacity to enforce its anti-fraud and corporate-governance laws. If the investigations clear the companies, EOCO will still need to demonstrate procedural rigour to restore public confidence.

Either way, the agency’s weekend admission has shifted the narrative.
For the first time, EOCO has placed itself, not the media, not the accused, at the centre of a scandal that cuts to the heart of Ghana’s institutional integrity.

Below is the statement from GMP Energy Limited to NorvanReports also on 23 June 2025 when we broke the story regarding the petition to EOCO.

 

 

Tags: and a Petition Filed Against itand the Other a Petition Filed AgainstBulk Oil Storage and Transportation Company (BOST).Economic and Organised Crime Office (EOCO)EOCO admits to probing two Springfield Energy-related cases: One Explosive with BOSTEOCO pushes back and admits to probing two Springfield energy-related cases: One with BOSTetraco Energies DMCC in Dubai.GMP Energy LimitedKevin OkyereNorvanReportsSpringfield Energy

Leave a Reply Cancel reply

Your email address will not be published. Required fields are marked *

I agree to the Terms & Conditions and Privacy Policy.

No Result
View All Result

Highlights

Africa Must Rethink Value Chains to Build Economic Power – Fatima Ali Mohammed

Ghana Can Achieve Agric-Led Industrial Growth Through Policy, Process and Partnerships, Says Olam Agri CFO

Bank of Ghana Prices 1oz Gold Coin at GHS 45,017 as Global Gold Prices Ease

Fidelity Bank Pushes for Stronger Collaboration to Unlock Ghana’s Agric Potential 

More African Countries are Embracing the Yuan

UEFA Faces £17.5 Million Lawsuit Over Alleged Theft of Champions League Format

Trending

Banking & Finance

T-Bill Undersubscription Persists as Gov’t Misses Target by GHS 711 Million in Latest Auction

November 3, 2025

T-Bill Undersubscription Persists as Gov't Misses Target by GHS 711 Million in Latest Auction Government continues to...

GSE Remains Upbeat Supported by Sustained Investor Interest in Financial Counters

November 3, 2025

GTBank Ghana’s Assets Rise to GHS 19.1bn in Q3 2025 on Strong Loan and Cash Growth

November 3, 2025

Africa Must Rethink Value Chains to Build Economic Power – Fatima Ali Mohammed

November 3, 2025

Ghana Can Achieve Agric-Led Industrial Growth Through Policy, Process and Partnerships, Says Olam Agri CFO

November 3, 2025

Who we are?

NORVANREPORTS.COM |  Business News, Insurance, Taxation, Oil & Gas, Maritime News, Ghana, Africa, World

NorvanReports is a unique data, business, and financial portal aimed at providing accurate, impartial reporting of business news on Ghana, Africa, and around the world from a truly independent reporting and analysis point of view.

© 2020 Norvanreports – credible news platform.
L: Hse #4 3rd Okle Link, Baatsonaa – Accra-Ghana T:+233-(0)26 451 1013 E: news@norvanreports.com info@norvanreports.com
All rights reserved we display professionalism at all stages of publications

No Result
View All Result
  • Home
  • Business
    • Agribusiness
    • Aviation
    • Energy
    • Insurance
    • Manufacturing
    • Real Estate
    • Maritime
    • Tourism
    • Transport
    • Banking & Finance
    • Trade
    • Markets
  • Economy
  • Reports
  • Technology
    • Cryptocurrency
    • Cyber-security
    • Social Media
    • Tech-guide
    • Telecom
  • Features
    • Interviews
    • Opinions
  • Lifestyle
    • Entertainment
    • Sports
    • Travel
    • Environment
    • Weather
  • NRTV
    • Audio
    • Video

Welcome Back!

Login to your account below

Forgotten Password?

Create New Account!

Fill the forms bellow to register

All fields are required. Log In

Retrieve your password

Please enter your username or email address to reset your password.

Log In
NORVANREPORTS.COM | Business News, Insurance, Taxation, Oil & Gas, Maritime News, Ghana, Africa, World
This website uses cookies. By continuing to use this website you are giving consent to cookies being used. Visit our Privacy and Cookie Policy.
We use cookies to ensure that we give you the best experience on our website. If you continue to use this site we will assume that you are happy with it.